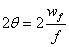
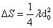
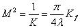
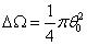
在激光功率相同的情況下,激光光束質量越好,則目標處光束能量就月集中,激光功率密度就越大,作用在目標工件上的效果就越好和明顯;反之能量越發散,質量越長作用效果也越差。光束質量是決定激光加工綜合性能的重要指標。 評價激光光束好壞可以用光束遠場發散角、光束聚焦特征參數值Kf(也稱雙參數發)和衍射限倍因子M2(M)或光束傳輸因子K值來表示。 光束的遠場發散角的大小決定了激光光束可傳輸多遠而不明顯發散,質量隨著發散角度的擴大的遞減。但是由于光束發散角是可以通過光學轉換來改變和調節的,因而不能完全用發散角來評價激光束質量。 激光光束的聚焦特征參數Kf定義為聚焦后光束的束腰半徑x遠場發散角,wo’為激光束束腰半徑,θ為聚焦前激光束的遠場發散角,wo’為聚焦光束的束腰半徑,θ’為聚焦后激光束的遠場發散角,那么Kf值的表示公式為。  。 國際標準化組織ISO在“激光光束寬度,發散角和輻射特征系數的試驗方法”中推薦采用光束傳輸因子K或衍射極限因子M2來評價光束質量。根據ISO草案規定,光束的發散全角為  光束質量因子:  為焦平面的光束半徑;f為透鏡的焦距;w1為離透鏡L1處的聚焦光束半徑;w2為離透鏡L2處的聚焦半徑;L2為入射激光光束束腰位置的幾何成像點距透鏡的長度。 M2,K,Kf之間的關系為: > 激光光束質量因子M2是一種全新描述激光光束質量的參數,20世紀90年代Siegman對光束質量M2概念給出了較完整的理論,M2因子或其倒數K因子(光束傳輸因子)就成為通常情況下評價激光光束質量的重要參數。  WO為實際光束的光腰寬度;θ為實際的遠場發散角> 采用M2因子概念是,作為光束質量統一比較的是理想高斯光束,對基模(TEMoo模)高斯光束有最好的光束質量,即M2=1,可以證明對應一般的激光光束有M21,M2因子越大,實際光束偏離理想高斯光束越遠,則光質量越差。當高斯光束通過無像差衍射效應可忽略的透鏡、望遠鏡系統聚焦或擴束時,雖然光腰尺寸或遠廠發射角要發生變化,但作為比較的物理量光斑寬度和發散角之積即Wo.θ是一個不變量,這就相當于幾何光學中的拉格朗日不變量。 激光光束質量M2因子被國際光學界所公認并由國際標準化組織ISO予以推薦。M2因子克服了常用的光束質量評價方法的局限,用M2作為評價標準對激光器系統進行質量監控及輔助設計等具有十分重要的意義。 M2因子評價方法常用于低功率激光器產生光束截面上光強分布為連續的激光光束。由于采用光束的二階矩定義束寬,對測量儀器要求高。在亮度公式中,用激光束腰直徑來表示光源發光面積 ,用激光束遠場發散角來表示光源發射立體角 ,并把 積用M2因子表示出來,則激光光束亮度公式就可表示為:  激光束的特征就可以用功率、波長、光質量幾個參數表示出來,光束質量M2因子是表示激光束亮度高、空降相干性好的本周參數。將光場在空域及頻域的分布表示光束質量M2因子,即 ,變可以知道M2因子能夠反映光場強度的強度分布于相位的普適性。相對其它評價,M2因子能較好的反映光束質量的實質,具有較強的普適性,并且反映了光強的空間分布。M2因子不適合評價高能激光的光束質量,高能激光的諧振腔一般是非穩腔,輸出的激光光束不規則,將不存在“光腰”,而且,對應能量分布為離散型的高能激光束,由二階矩定義計算得到的光斑半徑與實際相差很遠,得到的M2因子誤差很大。M2因子要求光束截面的光強分布不能有陡直的邊緣,比如對于“超高斯光束”M2因子就不適用。 光束質量是激光束可聚焦程度的度量,高質量激光束的遠場發散角應接近理想的單模高斯光束的衍射極限。光束質量受激光產生、發射和傳輸過程的影響。
|